一般的な人の目線の高さから、実際に見ている水平線までの距離はどれぐらいあるのでしょうか?
また、主要なビルや山の上から見た見える範囲も一覧でまとめました。
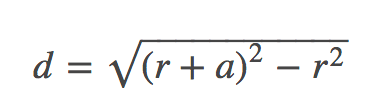
見えている水平線までの距離の計算式
地球から水平線までの距離は、次のような計算式で計算することができます↓


- a:地上から目線までの高さ
- r:地球の半径(6,371 km)
- d:実際に見てる人から、水平線までの距離
これをベースに、一般的な成人男性の身長170cmの目線の高さで、水平線までの距離を計算するとおおよそ4.6km程度になります。
水平線まではイメージ的には何十キロも離れてるような気もしますが、実際には以外に近い距離までしか見えてない事がわかりますね。(それだけ地球の大きさも大きいということです)
[ad]
高さ別、水平線までの距離
目線の高さが変わると、見える距離も当然変わってきます。では、実際にどれぐらいの高さで、何キロぐらいまで見えるのでしょうか?
視力やまわりの環境は無視して、純粋に「高さと距離」だけの関係を表にしてみました↓
| 建物や山 | 水平線までの距離 |
|---|---|
| 一軒家の2階(4〜5m程度) | 7.5km |
| マンション10階(10m程度) | 12km |
| 東京タワーの展望台の一番上「トップデッキ」(250m程度) | 60km |
| スカイツリーの展望台の一番上 「天望回廊」(450m程度) | 80km |
|
89km |
| 富士山の頂上(3776m程度) | 232km |
| エベレストの頂上(8,848m程度) | 356km |
ちなみに、エベレストの頂上から水平線までの距離の356kmは、新東名高速道路経由で東京から名古屋まで行く距離とほぼ同じ長さになっています。